Kampüs Blokları + Kampüs Eğitim Blokları + Kampüs Hastane Blokları


Elektrik Tüketimi:
Akdeniz Üniversitesinde Kampüs elektrik ihtiyacı, 31,5 kV bağlantı hattı üzerinden toplamda 4 abonelik ile sağlanmaktadır.
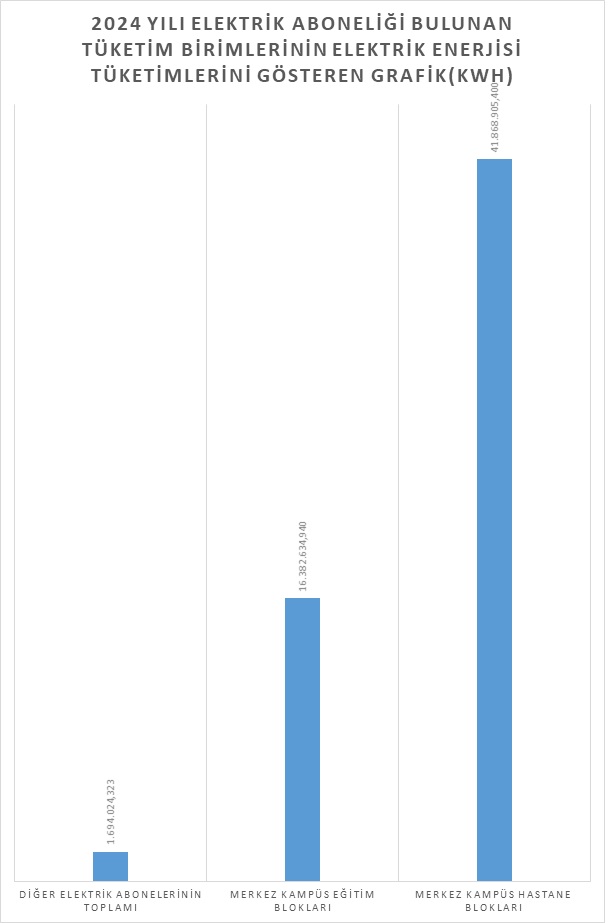
Akdeniz Üniversitesi’nin tüm birimlerinin fatura verilerine göre tükettiği toplam elektrik enerjisi;
- 2024 yılında: 59.972.482,056kWh
- 2023 yılında: 55.728.264,315kWh
Söz konusu elektrik enerjisinin tüketimi 2024 yılı:
- Merkez Kampüs Hastane Blokları tarafından: %69,814
- Merkez Kampüs Eğitim Blokları tarafından: %27,317
Geçmiş yıllara göre 2024 yılındaki elektrik enerjisi tüketimindeki artışın; 2023 yılı Eylül ayında Yeni Mimarlık Fakültesi Binası’nın devreye alınmasından, 30.09.2024 tarihinde geçici kabulü yapılan Hastane Katlı Otopark Binası’nın devreye alınmasından, 29.12.2023 tarihinde Manavgat Sosyal ve Beşeri Bilimler Fakültesi’nin üniversitemize devredilmesinden kaynaklı olduğu düşünülmektedir.
Aşağıda Akdeniz Üniversitesi 2023 yılı "Merkez Kampüs Eğitim Blokları ve Merkez Kampüs Hastane Blokları tüketim" grafiği sunulmuştur.
Aşağıda Akdeniz Üniversitesi 2024 yılı "Merkez Kampüs Eğitim Blokları ve Merkez Kampüs Hastane Blokları tüketim" grafiği sunulmuştur.

Son güncelleme : 23.09.2025 16:55:40